Votre ressource centrale pour les occasions dans l’énergie renouvelable au Canada
Le Canada accélère sa transition vers un avenir énergétique durable, et le paysage de l’énergie renouvelable et du stockage d’énergie évolue rapidement. Il n’y a jamais eu autant d’investissements dans de nouvelles sources d’électricité propres et abordables.
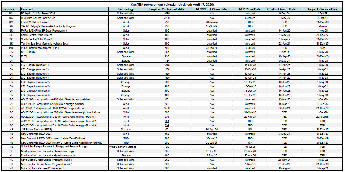
Pour appuyer cette transition, CanREA se réjouit de présenter son calendrier d’approvisionnement en énergie propre, un outil de suivi et de regroupement des occasions d’approvisionnement dans l’éolien, le solaire et le stockage d’énergie au Canada.
- Dernière mise à jour : Avril 2026
- Total des approvisionnements suivis : Près de 24 000 MW
- Investissement total représenté : Plus de 44 milliards de dollars

Explorer davantage
Pour ceux qui s’intéressent à la visualisation des données, nous proposons une version interactive du calendrier, où vous pouvez explorer les données mises à jour en détail et personnaliser l’affichage. Pour la version interactive, veuillez visiter notre plateforme Tableau :
* en anglais seulement
Données de référence
À titre de référence, ce calendrier d’approvisionnement est fondée sur les renseignements suivants. À noter que certains approvisionnements du tableau n’apparaissent pas dans le calendrier, comme ils n’avaient pas d’échéancier officiel à la date de publication.

Recommendé pour vous

COMMUNIQUÉ : L’Ontario se rapproche d’un nouvel approvisionnement en énergie concurrentiel
–L’Association canadienne de l’énergie renouvelable (CanREA) accueille favorablement <a href="https://news.ontario.ca/fr/release/1004981/la-province-lance-le-plus-important-approvisionnement-concurrentiel-en-energie-de-lhistoire-de-lontario%20par" target="_blank" rel="noreferrer noopener"> </a> Stephen Lecce, ministre de l’Énergie et de l’Électrification, du lancement du deuxième projet d’approvisionnement à long terme, dans une lettre ministérielle adressée à la Société indépendante d’exploitation du réseau d’électricité (SIERE). […]

En chiffres
Le Canada n’a exploité qu’une infime partie de ses riches ressources éoliennes et solaires, et les solutions de stockage d’énergie arrivent à peine sur nos marchés. Fin 2025, le Canada disposait d’environ . […]